热泵即热压缩,由热泵抽吸二次蒸汽提高其温度及压力作为加热热源,可以起到节能的作用,属于热力压缩,采用热泵的蒸发器又称为TVR蒸发器。

主要由喷嘴、混合室、扩散管、保温层及外包等组成。
热泵的理论计算主要包括喷射系数和热泵结构尺寸计算两部分。

1:喷射系数μ
喷射系数为吸入蒸汽G1与工作蒸汽量G0的比值,用μ表示,即
μ=G1/G0
含义为用1kg高压蒸汽能抽取多少kg的二次蒸汽进行再压缩。那么μ值越大说明越节能。
喷射系数过小则蒸汽耗量会加大,可能导致蒸发系统热不平衡,喷射系数过大则蒸汽耗量变小,可能导致生产能力不足也就是会导致蒸发量下降。
喷射系数的计算可以查下表进行插值计算。

压缩比σ=P4/P1,膨胀系数β=P0/P1
2:结构尺寸
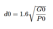
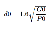
(1) 喷嘴喉部直径d0

对于饱和蒸汽可以用下式计算:

式中:
d0:喷嘴喉部直径,mm
G0:工作蒸汽量,kg/h
P0:工作蒸汽压力,Mpa
V0:工作蒸汽再压力P0下的比体积,m3/kg
(2) 喷嘴出口直径d1
对于饱和蒸汽:
当β≤500时:

当β>500时:

对于过热蒸汽:
当β≤100时:

当β>100时:

(3) 扩散管喉部直径d3

式中:
d3:扩散管喉部直径,mm
G1:被抽混合物中空气量,Kg/h
G2:被抽混合物中水蒸汽量,Kg/h
G2:从泵外漏入的空气量,Kg/h
G4:混合式冷凝器冷却水析出的空气量,Kg/h
校核最大反压力:

需使Pfm=P4,如果Pfm<P4,则可适当增大d0
(4) 其它尺寸
按下表计算或选取:

A值的计算
a. 自由喷射流长度Ic
当喷射系数μ>0.5时:
Ic=(0.37+μ)d1/(4.4α)
式中:
Ic:喷射流长度,mm
α:实践常数,在0.01~0.09之间选取,μ值较大时取较大值。
当喷射系数μ≤0.5时:
Ic=(0.083+0.76μ-0.29)d1/(2α)
b. 在Ic处扩散管直径Dc
Dc=d3+0.1(L4-Ic)
c. 自由喷射流在距离喷嘴出口截面积Ic处dc的值:
当喷射系数μ>0.5时:
dc=1.55d1(1+μ)
如果Dc>dc,则A=0
当喷射系数μ≤0.5时:

喷嘴出口与扩散管入口在同一断面上。如果Dc<dc,则A=0,喷嘴离开扩散管距离为A,则
Dc=d3+0.1[L4-(Ic-A)]=dc
由上式可得A的值。一般情况下A值在0~36范围内变化。
1200型双效降膜蒸发器,蒸汽都为饱和蒸汽。
蒸汽状态参数如下表:

1. 喷射系数计算
压缩比σ=P4/P1
P4=0.07149Mpa,P1=0.03463则
σ=P4/P1=0.07149/0.03463=2.06
膨胀系数β=P0/P1
P0=0.6302Mpa,P1=0.03463则
β=P0/P1=0.6302/0.03463=18.2
由压缩比与膨胀系数查表进行差值计算得到喷射系数为
μ=0.78
2. 热泵结构尺寸
由热平衡公式
G0+μG0=D
G0=D/(1+μ)
G0为饱和生蒸汽的耗量,kg/h
D为一效蒸发器所需得加热蒸汽总量,这里为850Kg/h
则可以计算得G0=477.53kg/h
喉部直径d0:

得到d0=13.93mm
喷嘴出口直径d1:
当β≤500时:

得到d1=27.17mm
扩散管喉部直径d3:

假定G1=1Kg/h
G2=D-G0=850-477.53=372.47kg/h
G3=1kg/h
G4=0kg/h
得到d3=55.21mm
校核Pfm=0.0714Mpa约等于P4=0.07149Mpa
其它尺寸按尺寸计算选用表来计算或选取。
自由喷射流长度Ic
Ic=90.53mm
在Ic处扩散管直径:
Dc=73.96mm
自由喷射流在距离喷嘴出口截面积Ic距离处dc得值
dc=76.45
Dc<dc所以A>0
Dc= d3+0.1[L4-(Ic-A)]
令Dc=dc得到
A=24.93mm
一个主要问题是噪音比较大,一般的噪声范围85~96dB(A),有的甚至超过100 dB(A)。主要的降噪措施有:
