1.椭圆封头受力分析

椭圆封头上各点的应力是不等的,与椭圆封头上的位置有关。
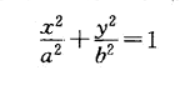
椭圆方程为

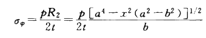
由胡金伯格方程
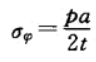
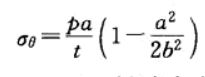
轴向应力

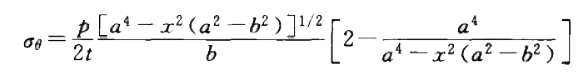
环向应力

(1)在壳体顶点
环向应力与径向应力相等

(2)壳体赤道上


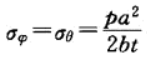
(3)应力分布情况
随着椭圆封头长短轴比值的变化,椭圆封头中的应力也会发生相应的变化,如下图所示:

2.原因
从上面的应力分析可知:当a/b=2时顶点与赤道处的环向应力数值pa/t上是相等,只是符号相反。轴向应力在顶点处最大为pa/t。
受力最好的情况是a/b=1也就是球封头,继续增大a/b的值,极限情况是平板,而平板受力是最差的,中间有一个比较均衡的情况出现,也就是a/b=2的时候,比球封头要节省材料比平板受力情况要好。
按GB150.3-2011中5.3.2的椭圆封头计算公式。
以内径Di=1000,设计压力Pc=0.3Mpa,焊缝系数φ=1,许用应力[σ]t=137Mpa,各比值下的厚度计算对比:

可以看到随着a/b值的增大,所需要的厚度是逐步增加的。
综合考虑a/b=2是一个比较合理的比值,所以工程上常采用的长短轴比值为2。
